• 29 de diciembre de 2020
  • Prensa

Pide Salud crear conciencia del grave impacto de la pandemia para poder enfrentarla


CIUDAD VICTORIA, Tamaulipas.- Tamaulipas registró este martes 111 nuevos casos de COVID-19 y 29 fallecimientos, informó la secretaria de Salud, Gloria Molina Gamboa luego de exhortar a la población a crear conciencia del grave impacto de la pandemia y extremar medidas preventivas para disminuir el número de contagios.

Le especialista subrayó que el uso del cubrebocas, el lavado frecuente de manos, mantener la sana distancia, toser o estornudar en el ángulo interno del brazo, evitar aglomeraciones y no tocarse la cara con las manos sucias, son acciones sencillas pero fundamentales para evitar riesgos.

Al presentar el balance diario de la pandemia, Molina Gamboa informó que al 29 de diciembre la cifra oficial es de 39,823 positivos acumulados, de los cuales 34,629 se han recuperado y 3,318 han fallecido.

Detalló que los nuevos pacientes se confirmaron en los siguientes municipios:

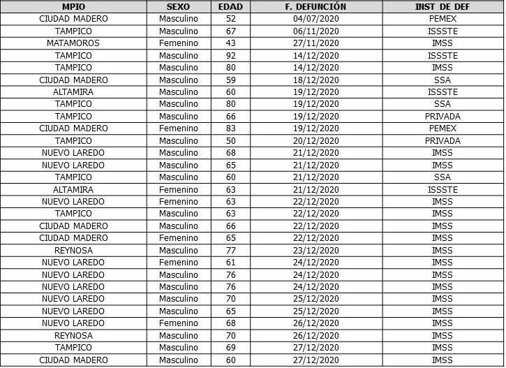
Mientras que las defunciones corresponden a:


Reiteró su llamado a atender en todo momento las medidas de seguridad sanitaria, quedarse en casa el mayor tiempo posible y evitar celebraciones concurridas con motivo de fin de año para poder desacelerar la velocidad de transmisión del virus.


Salud inicia preparativos para la Semana Nacional de Vacunación 2026

  • 16 de abril de 2026
  • Prensa, Secretaría de Salud
Todos los derechos reservados © 2026 / Gobierno del Estado de Tamaulipas 2022 - 2028