- 24 de diciembre de 2020
- Prensa
Convoca SST a quedarse en casa, “las fiestas pueden esperar, la salud y la vida no”

CIUDAD VICTORIA, Tamaulipas.- La secretaria de Salud de Tamaulipas, Gloria Molina Gamboa pidió a la ciudadanía proteger a la familia, a las personas más vulnerables y a toda la población de un contagio o fallecimientos por COVID-19, evitando celebraciones concurridas y extremando medidas de prevención tanto en el hogar como en los espacios públicos.
“Las fiestas pueden y deben esperar, la salud y la vida no” dijo la titular de la SST luego de convocar a quedarse en casa para poder frenar la cadena de transmisión del virus.
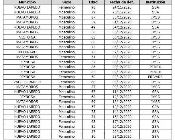
Al actualizar el balance de la pandemia en el estado, la especialista informó que a la fecha la cifra oficial es de 39,248 positivos acumulados, de los cuales 33,836 se han recuperado y 3,271 han fallecido.
Esto significa que durante las últimas 24 horas fueron confirmados 193 nuevos casos que se localizan en los siguientes municipios:

Además de 27 defunciones que corresponden a:

Molina Gamboa reiteró su llamado a evitar aglomeraciones, utilizar cubrebrocas de forma obligatoria, lavarse las manos de 10 a 20 veces al día, mantener una distancia de 2 metros o más con otras personas, ventilar todas las áreas de la casa, desinfectar objetos y superficies de uso común y no saludar de mano, abrazo o beso, principalmente.








