- 17 de agosto de 2020
- Prensa
Suma pandemia 127 nuevos casos de COVID-19 en Tamaulipas, llama SST a atender recomendaciones

CIUDAD VICTORIA, Tamaulipas.- Tamaulipas documentó 127 casos de coronavirus correspondientes a muestras del 16 de agosto y registró 35 nuevos fallecimientos asociados a la enfermedad, informó la secretaria de Salud, Gloria Molina Gamboa en un segundo reporte COVID de este lunes.
Precisó que con los nuevos diagnósticos, la cifra oficial asciende a 21,409 positivos confirmados, de los cuales 16,188 se han recuperado y 1,527 han fallecido.
Molina Gamboa refirió que los casos se presentaron en los siguientes municipios:

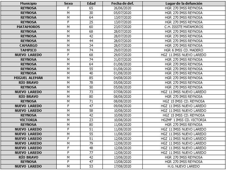
Mientras que las defunciones por género, edad y municipio corresponden a:

Exhortó a continuar atendiendo las medidas preventivas, sana distancia y de protección personal emitidas por el Gobierno de Tamaulipas, para poder disminuir contagios, fallecimientos y daños a la salud.








